作者: @BlazingKevin_ ,the Researcher at Movemaker
在加密资产市场中,交易者时常会遇到两类典型问题:一是目标交易代币的买一价与卖一价之间存在过大的差额;二是在提交大额市价订单后,资产价格出现剧烈变动,导致成交价严重偏离预期,产生高昂的滑点成本。这两类现象均由同一个根本性因素导致——市场流动性不足。而系统性地解决这一问题的核心市场参与者,即是做市商。
做市商的准确定义是专业的量化交易公司,其核心业务是在交易所的订单簿上,围绕资产的当前市场价格,持续地、同时性地提交密集的买入(Bid)和卖出(Ask)报价。
他们存在的根本功能,是为市场提供持续的流动性。通过双边报价行为,做市商直接缩小了买卖价差(Bid-Ask Spread),并增加了订单簿的深度。这确保了其他交易者在任何时间点的买卖意图,都能得到即时的订单匹配,从而使交易能够高效、并以一个公允的价格执行。作为此项服务的报酬,做市商的利润来源于在海量交易中获取的微小价差,以及交易所为激励流动性供给而支付的费用返还。
1011的市场行情,使做市商的角色成为市场讨论的焦点。当价格出现极端波动时,一个关键问题浮现:做市商是被动地触发了连锁清算,还是在风险加剧时主动撤回了流动性报价?
为了分析做市商在类似情况下的行为模式,有必要首先理解其运营的基本原理。本文旨在系统性地回答以下几个核心问题:
在厘清上述问题的基础上,我们将能够更清晰地推断出,在1011行情中做市商的行为逻辑与决策轨迹。
要理解做市商在市场中的行为,首先必须知道其最根本的盈利来源。做市商通过在交易所订单簿上提供持续的双边报价(即“做市”),其利润主要由两个部分构成:捕获买卖价差与赚取交易所的流动性供给返佣。
为阐述这一机制,我们构建一个简化的合约订单簿分析模型。

假设存在一个订单簿,其买卖盘分布如下:
同时,我们设定以下市场参数:
现在,我们通过一个完整的交易周期来分解做市商的收益过程。

来源:Movemaker
通过完成这一买一卖的完整周期,做市商的单次总利润为:
总收益=有效收入−有效成本=$1000.2−$999.9=$0.3
由此可见,做市商的真实利润,并不仅仅是订单簿上可见的 $0.1 名义价差。其真实利润的构成是:
真实利润=名义价差+买单返利+卖单返利
$0.3=$0.1+$0.1+$0.1
这种在高频交易中,通过无数次重复上述过程来累积微小利润的模式,构成了做市商业务最基础、最核心的盈利模型。
前述的基础盈利模型,其有效性的前提是市场价格在一定区间内窄幅波动。然而,当市场出现明确的单边定向移动时,该模型将面临严峻挑战,并使做市商直接暴露于一种核心风险之下——逆向选择风险。
逆向选择是指,当新信息进入市场导致资产公允价值发生变化时,知情的交易者会选择性地成交做市商尚未更新的、处于“错误”价位的报价,从而使做-市商积累对其不利的头寸。
为具体说明,我们延续之前的分析模型,并引入一个市场事件:资产的公允价格从 $1000 迅速下跌至 $998.0。

假设做市商只持有一个在先前交易中建立的多头合约,其有效成本为 $999.9。如果做市商不采取任何行动,其在 $1000.0 附近挂出的买单将对套利者构成无风险的利润机会。因此,一旦监测到价格的定向变动,做市商必须立即做出反应,首要动作是主动撤销所有接近旧市场价格的买单。
此时,做市商面临一个策略抉择,主要有以下三种应对方案:
亏损=(有效成本−退出价格) + 吃单手续费
亏损=($999.9−$998.0)+($998.0×0.02%)≈$1.9+$0.2=$2.1
此方案的目的是迅速消除风险敞口,但会立即产生确定性的亏损。
亏损=(有效成本−退出价格)−挂单返利
亏损=($999.9−$998.1)−($998.1×0.01%)≈$1.8−$0.1=$1.7
此方案旨在以更小的损失退出头寸。
假设在“单一做市商”市场结构下,由于其拥有绝对的定价权,做市商大概率会选择方案三,以避免立即实现亏损。在该方案中,由于卖单价格 ($998.8) 远高于公允价 ($998.0),其成交概率较低。相反,更靠近公允价的买单 ($998.0) 更可能被市场上的卖方成交。
通过上述操作,做市商成功将其多头头寸的盈亏平衡点从 $999.9 降低至 $998.9。基于这个更低的成本基础,做市商现在可以更积极地寻求卖出机会。例如,它可以将卖一报价从 $998.8 大幅下调至 $998.9,在实现盈亏平衡的同时,将价差从之前的 $1.8 ($999.8 - $998.0) 显著缩小至 $0.8 ($998.8 - $998.0),以吸引买方成交。
然而,这种通过增持来摊薄成本的策略具有明显的局限性。如果价格继续下跌,例如从 $1000 崩跌至 $900,做市商将被迫在持续亏损的情况下不断增持,其库存风险将急剧放大。届时,继续扩大价差将导致交易完全停滞,形成恶性循环,最终不得不以巨大亏损强行平仓。
这就引出一个更深层次的问题:做市商如何定义和量化风险?不同程度的风险又与哪些核心因素相关?对这些问题的回答,是理解其在极端市场中行为的关键。
做市商的盈利模型,本质上是在承担特定风险以换取回报。其面临的亏损,主要源于资产价格在短期内发生大幅度的、不利于其库存头寸的偏离。因此,理解其风险管理框架,是剖析其行为逻辑的关键。
做市商面临的风险,可以归结为两个相互关联的核心因子:
而判断均值回归可能性的一个关键可观测指标,是交易量。在作者今年4月22号发表的文章《市场分歧加剧的回顾:反弹转变为反转,还是下跌中继的第二次派发?》提到了订单簿中的弹珠理论,不同价格的挂单根据挂单量形成了厚度不均的玻璃层,波动的市场就如同一颗弹珠。我们可以将订单簿上不同价位的限价订单,视为具有不同厚度的“流动性吸收层”。
市场的短期价格波动,则可视为一股冲击力量的弹珠。在低交易量环境下,冲击力量较弱,价格通常被限制在最密集的流动性层之间窄幅运动。而在高交易量环境下,冲击力量增强,足以击穿多层流动性。被消耗的流动性层难以瞬时补充,尤其是在单边行情中,这会导致价格向一个方向持续移动,均值回归的概率降低。因此,单位时间内的交易量,是衡量这股冲击力量强度的有效代理指标。

根据波动性在不同时间尺度(日内 vs. 日间)的表现,做市商会动态调整其策略参数,以适应不同的市场环境。其基础策略可以归纳为以下几种典型状态:
无论在哪种市场状态下,做市商策略的执行都围绕两个核心任务展开:确定公允价格和设定最优价差。
无论在哪种市场状态下,做市商策略的执行都围绕两个核心任务展开:确定公允价格和设定最优价差。
为阐明其内在逻辑,我们引用Meduim上的作者 David Holt 构建的一个简化模型,在一个高度理想化的假设下,推导最优价差。

来源:Idrees

来源:知乎

来源:Movemaker
上述模型的致命缺陷是假设了均值不变。在真实市场中,价格均值会随时间漂移。因此,专业的做市商必须采用多时间框架的分层策略来管理风险。
策略的核心在于,在微观层(秒级)沿用量化模型设定最优价差,同时在中观层(分钟级)和宏观层(小时/日级)监测价格均值的漂移和波动性结构的改变。当均值发生偏移时,系统会动态地重新校准整个报价区间的中轴,并相应调整库存头寸。
这种分层模型最终导向一套动态的风险控制规则:
前文所述的动态策略模型,属于高频做市的范畴。此类策略的核心目标是在精确管理库存风险 的前提下,通过算法设定最优买卖报价,以最大化预期利润。
库存风险,被定义为做市商因持有净多头或净空头头寸,而暴露于不利价格波动下的风险。当做市商持有多头库存时,面临价格下跌的亏损风险;反之,当持有空头库存时,则面临价格上涨的亏损风险。有效管理这种风险,是做市商能否长期生存的关键。
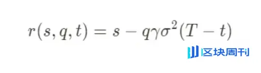
专业的量化模型,如经典的斯托伊科夫模型 (Stoikov Model),为我们提供了一个理解其风险管理逻辑的数学框架。该模型旨在通过计算一个动态调整后的“参考价格”,来主动管理库存风险。做市商的双边报价将围绕这个新的参考价格展开,而非静态的市场中间价。其核心公式如下:

其中,各个参数的含义如下:
该模型的核心思想是,当做市商的库存 (q) 偏离其目标(通常为零)时,模型会系统性地调整报价中轴,以激励市场成交能使其库存回归均衡的订单。例如,当持有多头库存 (q>0) 时,模型计算出的r(s,q,t)将低于市场中间价 s,这意味着做市商会将其买卖报价整体下移,使得卖单更具吸引力,买单更不具吸引力,从而增加平掉多头库存的概率。
风险规避参数 γ 是整个风险管理系统的“调节阀”。做市商会根据对市场状态的综合判断(如波动性预期、宏观事件等)来动态调整 γ 的值。在市场平稳时,γ 可能较低,策略偏向于积极赚取价差;当市场风险加剧时,γ 会被调高,使得策略极度保守,报价会显著偏离中间价以快速降低风险敞口。
在极端情况下,当市场出现最高级别的风险信号(例如,流动性枯竭、价格剧烈脱锚)时,γ 的值会变得极大。此时,模型计算出的最优策略,可能会是生成一个极度偏离市场的、几乎不可能成交的报价。在实践中,这等同于一个理性的决策——暂时性地、完全撤出流动性,以避免因无法控制的库存风险而导致灾难性亏损。
最后,必须强调的是,本文所讨论的模型,仅是在简化假设下对做市商核心逻辑的阐述。在真实的、高度竞争的市场环境中,顶级的做市商会采用远为复杂的、多层次的策略组合来最大化利润并管理风险。
这些高级策略包括但不限于:
基于前文建立的分析框架,我们现在可以对 1011的市场剧变,进行一次的复盘。当价格呈现出剧烈的单向移动时,做市商的内部风险管理系统必然被触发。触发该系统的,可能是多重因素的叠加:某一时间框架下的平均损失超出了预设阈值;净库存头寸在极短时间内被市场上的对手方“喂满”;或是在达到最大库存限制后,无法有效出清头寸,导致系统自动执行仓位收缩程序。
要理解当时市场的真实情况,我们必须深入分析订单簿的微观结构。以下这张源自订单簿可视化工具的图表,为我们提供了证据:

来源:@LisaLewis469193
(注:为保持分析的严谨性,请将此图视为对当时市场情况的典型呈现)
这张图表直观地展示了订单簿深度随时间的变化:
在图中红色竖线标记的 凌晨5:13 这一精确时刻,我们能观察到两个同步发生的、异乎寻常的现象:
这一系列动作,在交易术语中被称为“流动性撤离”。它标志着市场的主要流动性提供者(主要是做市商),在极短的时间内,几乎是同步地撤回了他们的双边报价,瞬间将一个看似流动性充裕的市场,转变为一个极度脆弱的“流动性真空”。
因此,1011的暴跌过程,可以清晰地划分为两个逻辑递进的阶段:
在 凌晨5:13 之前,市场可能仍处于表面的平稳状态。但在那一刻,某个关键的风险信号被触发——这可能是一则突发的宏观消息,也可能是某个核心协议(如 USDe/LSTs)的链上风险模型发出了警报。
在接收到信号后,顶尖做市商的算法交易系统立即执行了预设的“紧急避险程序”。该程序的目标只有一个:在最短的时间内,将自身的市场风险敞口降至最低,优先于一切盈利目标。
在 凌晨5:13 之后,随着订单簿“断崖”的形成,市场结构发生了根本性的质变,进入了我们所描述的“流动性真空”状态。
在主动撤离之前,要使市场价格下跌 1%,可能需要大量的卖单来消耗层层堆积的买盘。但在撤离之后,由于下方的支撑结构已不复存在,可能只需要极少数的卖单,就能造成同等甚至更为剧烈的价格冲击。
1011史诗级的市场崩盘,其直接的催化剂与放大器,正如图表所揭示的、由顶尖做市商所执行的一次大规模、同步的主动性流动性撤离。他们并非崩盘的“元凶”或始作俑者,但他们是崩盘最有效率的“执行者”和“放大器”。通过理性的、以自我保全为目的的集体行动,他们创造了一个极度脆弱的“流动性真空”,为后续的恐慌性抛售、协议脱钩压力、以及最终的中心化交易所连环清算,提供了完美的条件。